- Circuitos ElétricosCircuitos CACircuitos Trifásicos
- Sistemas Elétricos de PotênciaAnálise de SEPAnálise de Curto-circuitos
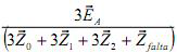
Em um sistema elétrico trifásico ocorreu um curto-circuito em uma das fases para o terra. Sabe-se que a tensão no ponto da falta é igual a
A e que essa falta ocorreu por meio de uma impedância falta
falta. Considerando que as impedâncias dos equivalentes de Thévenin de sequência zero, positiva e negativa vistas da falta são respectivamente iguais a
0 ,
1 e
2 , a corrente de curto-circuito, em ampères, é igual a
A e que essa falta ocorreu por meio de uma impedância falta
falta. Considerando que as impedâncias dos equivalentes de Thévenin de sequência zero, positiva e negativa vistas da falta são respectivamente iguais a
0 ,
1 e
2 , a corrente de curto-circuito, em ampères, é igual a