Magna Concursos
1966284 Ano: 2020
Disciplina: Matemática
Banca: FUNDATEC
Orgão: Pref. Bagé-RS
Provas:

enunciado 927868-1

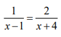
O valor de “x” que resolve a proporção enunciado 927868-2 é :

 

Provas

Questão presente nas seguintes provas

Guarda Municipal

40 Questões