Magna Concursos
836829 Ano: 2014
Disciplina: Engenharia Elétrica
Banca: VUNESP
Orgão: SAP-SP
Provas:
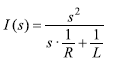
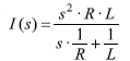
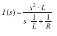
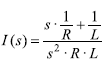
Um circuito elétrico composto por um indutor em paralelo com um resistor é conectado a uma fonte de tensão cujo sinal pode ser representado pelo degrau unitário. Esse circuito encontra-se em condições iniciais quiescentes, o resistor possui resistência R e o indutor possui indutância L. Assinale a alternativa que apresenta corretamente o valor da corrente fornecida pela fonte de tensão, no domínio da frequência.
 

Provas

Questão presente nas seguintes provas

Engenheiro Eletricista

40 Questões