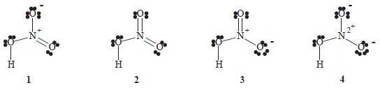
A estrutura de Lewis é uma representação gráfica que pode ser usada para mostrar as ligações entre átomos em uma molécula e também os elétrons não compartilhados.
Abaixo, estão apresentadas as estruturas de ressonância de Lewis da molécula do ácido nítrico.

Sobre essas estruturas é CORRETO afirmar que: