Muitas reações químicas ocorrem por mecanismos que envolvem
mais de uma etapa na qual cada uma delas possui sua própria
constante de velocidade e energia de ativação. Para a reação em
fase gasosa entre óxido nítrico (NO) e bromo (Br2) foi proposto o
mecanismo em duas etapas a seguir, em que k1, k-1 e k2,
representam as constantes de velocidade envolvidas em cada
etapa:
Etapa 1: 2 NO(g)
N2O2(g) (rápida, equilíbrio)
Etapa 2: N2O2(g) + Br2(g)
2NOBr (lenta)
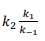
A constante de velocidade para a reação entre óxido nítrico e bromo pode ser expresso em função das constantes k1, k-1 e k2 por meio da expressão:
Etapa 1: 2 NO(g)
Etapa 2: N2O2(g) + Br2(g)
A constante de velocidade para a reação entre óxido nítrico e bromo pode ser expresso em função das constantes k1, k-1 e k2 por meio da expressão:
Provas
Questão presente nas seguintes provas