Um leito fixo preenchido com partículas esféricas de diâmetro médio igual a dp = 3 mm está sendo utilizado para filtrar água. O leito possui uma altura H = 0,5 m e uma porosidade de ε = 0,4. A água a 20°C, com uma vazão volumétrica de Q = 0,002 m3/s, atravessa o leito. A seção transversal do leito tem um diâmetro de D = 0,2 m.
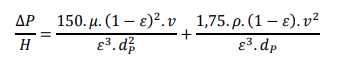
As propriedades da água são: massa específica ρ = 998 kg/m3 e viscosidade dinâmica μ = 0,001 Pa.s. O escoamento ocorre no regime laminar. A queda de pressão no leito pode ser estimada pela equação de Ergun:

Nessa equação, \( v \) é a velocidade superficial.
Baseando-se nessas informações, o valor aproximado para a queda de pressão estimada para o leito é