
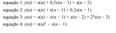
No que diz respeito às equações de diferenças mostradas acima e aos sistemas que elas representam, julgue os itens seguintes.
Provas
Questão presente nas seguintes provas
Pesquisador do INPI - Engenharia Eletrônica
120 Questões

No que diz respeito às equações de diferenças mostradas acima e aos sistemas que elas representam, julgue os itens seguintes.