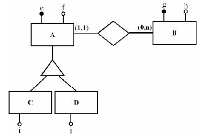
Considere o diagrama de entidade-relacionamento e as afirmativas abaixo.

1. O DER é um diagrama utilizado para representar o modelo lógico de dados.
2. A entidade A é dependente da entidade B.
3. A entidade B é identificada unicamente pelo atributo g.
4. A entidade C não possui atributo identificador.
5. Os atributos da entidade C são: e, f, i.
Assinale a alternativa correta