Magna Concursos
569729 Ano: 2015
Disciplina: Gerência de Projetos
Banca: FGV
Orgão: TJ-RO
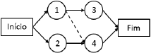
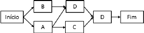
Para gerenciar tempo, Geraldo definiu e sequenciou as atividades do seu projeto de software. Para representá-las graficamente, Geraldo precisa de um método que use apenas relacionamentos de Término para Início entre as atividades, e que represente atividades fantasmas, também conhecidas por dummy. Para atender sua necessidade, Geraldo deve utilizar um:
 

Provas

Questão presente nas seguintes provas