Magna Concursos
3278345 Ano: 2024
Disciplina: Matemática
Banca: UEPB
Orgão: Pref. Soledade-PB
Provas:

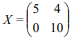
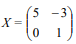
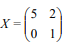
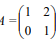
Em uma competição de Matemática foi proposta a seguinte equação:

Enunciado 3278345-1

Se  Enunciado 3278345-2 podemos AFIRMAR que valor da matriz é igual a:

 

Provas

Questão presente nas seguintes provas

Professor - Matemática

40 Questões