Magna Concursos
1106016 Ano: 2016
Disciplina: Matemática
Banca: AOCP
Orgão: IF-BA

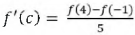
Considere a função f definida por Enunciado 1106016-1. O(s) valor(es) de c pertencente(s) ao intervalo [-1,4], tal(is) que Enunciado 1106016-2 é (são)

 

Provas

Questão presente nas seguintes provas

Professor PEBTT - Matemática

50 Questões