Magna Concursos
160803 Ano: 2018
Disciplina: Física
Banca: NUCEPE
Orgão: PC-PI
Provas:
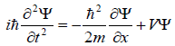
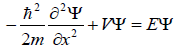
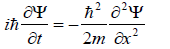
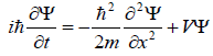
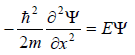
Na mecânica quântica, a equação de Schrödinger é uma equação diferencial parcial que descreve como o estado quântico ( Ψ = Ψ (x,t) ) de um sistema físico muda com o tempo. Qual equação a seguir representa a equação de Schrödinger na sua forma dependente do tempo para uma partícula com energia E se movendo num potencial V =V(x,t) em uma dimensão.
 

Provas

Questão presente nas seguintes provas

Perito Criminal - Física

60 Questões