Magna Concursos
1833721 Ano: 2013
Disciplina: Engenharia Eletrônica
Banca: VUNESP
Orgão: DCTA

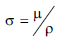
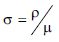
Considerando um material condutor (metal) e que ¦Ì seja a mobilidade desse material e ¦Ñ sua densidade de cargas, sua condutividade (¦Ò) ¨¦ calculada por:

 

Provas

Questão presente nas seguintes provas

Tecnologista Jr - Eletrônica I

70 Questões