Magna Concursos
1163003 Ano: 2019
Disciplina: Matemática
Banca: Excelência
Orgão: Pref. Taubaté-SP

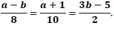
Considere

Enunciado 1163003-1

Determine Enunciado 1163003-2

 

Provas

Questão presente nas seguintes provas

Oficial - Administração

50 Questões

Orientador Social

50 Questões