Magna Concursos
Questões
Planos
Entrar
Entrar
Criar Conta
Respondida
1032815
Ano:
2018
Disciplina:
Matemática
Banca:
FCC
Orgão:
SEE-BA
Provas:
Professor - Matemática
Provas
×
Álgebra
Equações de Segundo Grau
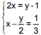
A representação geométrica do sistema de equações
no plano cartesiano é dada por
A
uma parábola e uma reta tangente à ela.
B
um par de retas concorrentes em um ponto.
C
um par de retas paralelas distintas.
D
um par de retas paralelas coincidentes.
E
uma circunferência e uma reta tangente à ela.
Resolver
Comentários
0
×
Cadernos
×
Flashcards
×
Estatísticas
×
Reportar um erro
×
Provas
Questão presente nas seguintes provas
Professor - Matemática
50 Questões
Resolver Prova
Publicar
Responder
Qual o problema da questão?
Selecione uma opção
Questão Desatualizada
Questão Repetida
Gabarito Errado
Outros Motivos
Mensagem
Enviar
Acessar
Criar Conta
Acesse sua Conta
Google
Facebook
Esqueci minha senha
Acessar
Ainda não tem conta?
Crie uma
!
Crie uma Conta
Criar Conta
Olá, para continuar, precisamos criar uma conta!
É
rápido
e
grátis
.
Google
Facebook
Concordo com os
Termos de Uso
Criar
Já tem uma conta?
Acesse aqui