Magna Concursos
2694255 Ano: 2023
Disciplina: Engenharia Elétrica
Banca: UFF
Orgão: UFF
Provas:

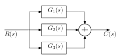
Considere a função de rede abaixo:

Enunciado 2694255-1

É correto afirmar que C(s) pode ser descrita pela expressão:

 

Provas

Questão presente nas seguintes provas

Engenheiro Eletricista

65 Questões