Considere a seguinte função de transferência:

Considerando-se x(t)=u(t), determine, a partir de y(t), a resposta do sistema em estado estacionário.
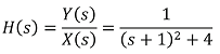
Considere a seguinte função de transferência:

Considerando-se x(t)=u(t), determine, a partir de y(t), a resposta do sistema em estado estacionário.