- Química OrgânicaFunções Nitrogenadas: Amina, Amida, Nitrila, Isonitrila e Nitro Composto
- Química OrgânicaPropriedades Físicas dos Compostos Orgânicos
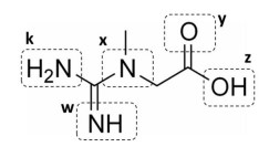
A creatina é um composto produzido a partir de alguns aminoácidos (glicina, arginina, metionina) e é um suplemento
recomendado para o aumento da força e da massa muscular. Sua estrutura química é apresentada a seguir:

Em pH = 11,0, qual átomo estará carregado negativamente, formando uma espécie química iônica?

Em pH = 11,0, qual átomo estará carregado negativamente, formando uma espécie química iônica?