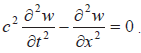
Um elevador possui cabos que promovem o seu movimento.

A equação que descreva a vibração do cabo, assumindo que ele possui uma massa por unidade de comprimento m e que
, é:
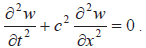
Um elevador possui cabos que promovem o seu movimento.

A equação que descreva a vibração do cabo, assumindo que ele possui uma massa por unidade de comprimento m e que
, é: