Magna Concursos
2679366 Ano: 2023
Disciplina: Matemática
Banca: IBFC
Orgão: SEE-BA

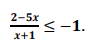
O professor Paulo colocou na lousa, como tarefa da aula, a seguinte inequação:


Enunciado 3173324-1


E quem a resolvesse corretamente ganharia um ponto na média. O aluno que ganhou este ponto entregou como solução desta inequação:
 

Provas

Questão presente nas seguintes provas

Professor da Educação Básica - Matemática

50 Questões