Magna Concursos
881573 Ano: 2019
Disciplina: Matemática
Banca: UFMG
Orgão: UFMG
Provas:
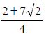
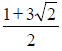
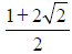
O tangram é um famoso quebra-cabeça chinês de sete peças conforme figura a seguir. Certo tangram foi construído a partir de um quadrado, ABCD, de lado 1 decímetro. Sabe-se que os pontos H, I, E, F, G e J são pontos médios dos segmentos DI, DB, IB, BC, FJ e CD, respectivamente.
enunciado 881573-1
DETERMINE o perímetro, em decímetros, do trapézio EFGH.
 

Provas

Questão presente nas seguintes provas

Processo Seletivo

60 Questões