
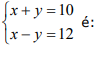
A solução do seguinte sistema de equações de primeiro grau 
Provas
Questão presente nas seguintes provas
Atendente de Educação Infantil - 30 horas
40 Questões
Auxiliar de Disciplina
40 Questões
Professor I
40 Questões