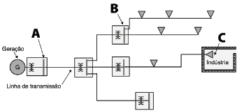
Considere o sistema de geração, transmissão e distribuição apresentado na figura abaixo.

Fonte: Adaptado de MAMEDE, João Filho; Instalações Elétricas Industriais. – Rio de Janeiro: LTC, 2017.
Qual a nomenclatura das subestações marcadas com as letras A, B e C, respectivamente?