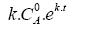
Uma reação de isomerização de A em B segue uma reação de primeira ordem com velocidade específica k. Assinale a alternativa que contém a expressão da taxa de geração de B no interior de um reator batelada a partir de uma solução isenta de B e cuja concentração de A é dada por 
