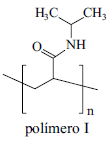
Recentemente, pesquisadores criaram um algodão que é capaz de capturar elevadas quantidades de água do ar. Eles revestiram fibras naturais de algodão com o polímero I, que tem a propriedade de sofrer transições rápidas e reversíveis em resposta a mudanças de temperatura. Assim, as fibras revestidas funcionam como uma “esponja de algodão”. Abaixo dos 34 ºC as fibras do algodão revestido se abrem, coletando a umidade do ar. Quando a temperatura sobe, os poros do tecido se fecham, liberando toda a água retida em seu interior - uma água totalmente pura, sem traços do material sintético.
(www.inovacaotecnologica.com.br. Adaptado.)

Na representação do polímero I, observa-se a unidade da cadeia polimérica que se repete n vezes para a formação da macromolécula. Essa unidade polimérica apresenta um grupo funcional classificado como