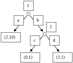
Considere o jogo na forma extensiva apresentado a seguir.

Item 2 - Num equilíbrio de Nash perfeito em subjogos o jogador 2 jogará sempre c.
Provas
Questão presente nas seguintes provas
Considere o jogo na forma extensiva apresentado a seguir.

Item 2 - Num equilíbrio de Nash perfeito em subjogos o jogador 2 jogará sempre c.