
Com relação a essas informações, julgue os itens seguintes.
O problema de se determinar o preço unitário de cada fruta se resumiu em resolver o seguinte sistema de equações lineares:![]()
Provas
Questão presente nas seguintes provas

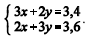
Com relação a essas informações, julgue os itens seguintes.
O problema de se determinar o preço unitário de cada fruta se resumiu em resolver o seguinte sistema de equações lineares:![]()