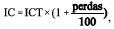
O Instituto Brasileiro de Tecnologia e Qualidade na Construção Civil (ITQC) realizou uma pesquisa acerca da redução do desperdício de materiais nos canteiros de obras, cujos resultados são apresentados na tabela a seguir. Para calcular o consumo de materiais de construção, utiliza-se a expressão ,
em que IC é o índice de consumo ou a quantidade de material a ser comprada; ICT é o índice de consumo teórico ou a quantidade de material que cabe no local; e as perdas correspondem a uma percentagem do material calculado.

Considere que se deseje cobrir uma superfície de piso de 20,00 m 2 usando-se placas de cerâmica de 20 cm × 40 cm. Nessa situação, a partir das informações acima, a quantidade de placas de cerâmica necessária, ou seja, o índice de consumo, para uma porcentagem média, é igual a