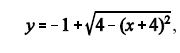
Existem vários programas computacionais que permitem ao usuário traçar gráfico de função a partir da expressão que a define e do domínio previamente estabelecido. Um professor preparou uma atividade para seus alunos utilizando um desses programas. Ele escolheu uma lista de funções com seus domínios e pediu que os alunos desenhassem todas elas em um mesmo sistema de coordenadas cartesianas. A curva que se obteve como resultado do trabalho está ilustrado na figura a seguir.

A partir das informações e da figura acima, julgue os itens a seguir.
Se a curva contém parte da circunferência de centro (!4, !1) e raio 2, então essa parte corresponde ao gráfico da função
, para !6 # x # !2.