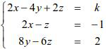
O valor de k para que o sistema de equações

seja possível e indeterminado é igual a

seja possível e indeterminado é igual a
Provas
Questão presente nas seguintes provas
Administrador
60 Questões
Enfermeiro
60 Questões
Farmacêutico
60 Questões