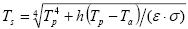
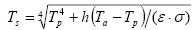
Na figura abaixo, uma partícula esférica é mantida em suspensão por um fluxo de ar alimentado pela seção inferior da câmara. O ar, ao incidir sobre a partícula, está na temperatura Ta. A área da partícula é A, o coeficiente de transferência de calor convectivo é h, o coeficiente de Stefan- Boltzmann é σ e a emissividade da partícula é ε. Se a temperatura da partícula deve ser mantida a Tp (maior que Ta), a temperatura Ts da superfície da câmara deve ser:
