- EletromagnetismoElétricaEletricidade
- EletromagnetismoElétricaForça Elétrica, Campo Elétrico e Eletrização
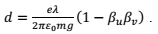
Um elétron (massa m) no campo gravitacional (aceleração da gravidade g) movimenta-se com velocidade v embaixo de um fio condutor que possui uma densidade linear de carga λ (medida no sistema de referencial do laboratório). As cargas no fio condutor movimentam-se com velocidade em direção oposta ao elétron (conforme a figura a seguir). Definindo as constantes βu = u/c e βv = v/c, a distância d do fio em que as forças verticais sobre o elétron se equilibram é
