Magna Concursos
2106218 Ano: 2021
Disciplina: Matemática
Banca: URCA
Orgão: Pref. Crato-CE
Provas:
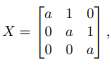
Seja X uma matriz quadrada de ordem 3 com entradas reais. As matrizes que comutam com X são todas as matrizes A = (aij ) de ordem 3 com entradas reais tais que AX = XA. Em particular, se Enunciado 2106218-1 com a ∈ R e a ≠ 0, é correto afirmar:
 

Provas

Questão presente nas seguintes provas

Professor - Matemática

60 Questões