Magna Concursos
1881059 Ano: 2015
Disciplina: TI - Desenvolvimento de Sistemas
Banca: IF-SP
Orgão: IF-SP

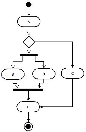
Analise o diagrama de atividades a seguir e assinale a alternativa correta.

Enunciado 3429353-1

 

Provas

Questão presente nas seguintes provas

Professor PEBTT - TI/Programação e BD

80 Questões