Magna Concursos
3889511 Ano: 2025
Disciplina: Matemática
Banca: UEPB
Orgão: Pref. Nova Palmeira-PB
Provas:
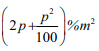
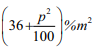
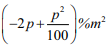
Um casal tem um terreno e deseja construir uma casa, sendo que a sala da casa possui o formato de um quadrado de lado 6 metros. A esposa diz ao marido que queria a sala maior e solicita que aumente o comprimento do lado da sala em p %. Nestas condições é CORRETO afirmar que a área da sala terá um acréscimo em relação ao planejamento inicial de:
 

Provas

Questão presente nas seguintes provas

Professor - Matemática

40 Questões