Magna Concursos
191619 Ano: 2006
Disciplina: Engenharia Elétrica
Banca: UEG
Orgão: TJ-GO
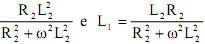
Considere os circuitos (a) e (b) desenhados a seguir.

enunciado 191619-1
Qual deve ser o valor de R1 e L1, de modo que a fonte VS(t) forneça a mesma potência aparente?
 

Provas

Questão presente nas seguintes provas