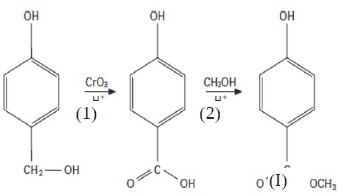
A cadela, no cio, libera o composto (I), responsável pela atração do cachorro. A obtenção desse composto está indicada na seguinte equação:

As reações 1 e 2 são, respectivamente:
A cadela, no cio, libera o composto (I), responsável pela atração do cachorro. A obtenção desse composto está indicada na seguinte equação:

As reações 1 e 2 são, respectivamente: