Magna Concursos
2834917 Ano: 2023
Disciplina: Física
Banca: FUNDATEC
Orgão: IF-SC
Provas:
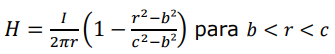
Considere um cabo coaxial infinito no qual se estabelecem duas correntes elétricas distribuídas de maneira uniforme. O cabo coaxial é composto por um condutor interno cilíndrico de raio "a" e um condutor externo anelar concêntrico ao condutor interno, com raio interno "b" e raio externo "c". As correntes elétricas estabelecidas no condutor interno e externo têm o mesmo módulo igual a I, porém, apresentam sentidos contrários. Deseja-se calcular o campo magnético no interior do condutor externo utilizando a Lei de Ampère. Assinale a alternativa que descreve corretamente o módulo do campo magnético (H) no interior do condutor externo em função da distância "r" do eixo do cabo coaxial.
 

Provas

Questão presente nas seguintes provas

Professor PEBTT - Física

50 Questões