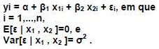
Considere a seguinte equação de um modelo de regressão linear clássico, em que os regressores são estocásticos:

Sobre esse modelo, considere as seguintes afirmativas:
1. Os estimadores de mínimos quadrados ordinários dos parâmetros , a β1e β2 são eficientes dentro da classe de estimadores lineares.
2. Os estimadores de mínimos quadrados ordinários dos parâmetros β1 e β2 são eficientes se a hipótese de ausência de autocorrelação dos erros não for violada.
3. Os estimadores de mínimos quadrados ordinários de β1 e β2 serão viesados se a hipótese de homoscedasticidade for violada.
4. o estimador de mínimos quadrados ordinários de ?2i torna-se inconsistente e viesado se x1i for omitido da regressão.
5. A variância dos resíduos β2i tem média amostral zero por construção.
Assinale a alternativa correta.

Sobre esse modelo, considere as seguintes afirmativas:
1. Os estimadores de mínimos quadrados ordinários dos parâmetros , a β1e β2 são eficientes dentro da classe de estimadores lineares.
2. Os estimadores de mínimos quadrados ordinários dos parâmetros β1 e β2 são eficientes se a hipótese de ausência de autocorrelação dos erros não for violada.
3. Os estimadores de mínimos quadrados ordinários de β1 e β2 serão viesados se a hipótese de homoscedasticidade for violada.
4. o estimador de mínimos quadrados ordinários de ?2i torna-se inconsistente e viesado se x1i for omitido da regressão.
5. A variância dos resíduos β2i tem média amostral zero por construção.
Assinale a alternativa correta.
Provas
Questão presente nas seguintes provas