Magna Concursos
1477187 Ano: 2008
Disciplina: Matemática
Banca: UPENET/IAUPE
Orgão: Pref. Arcoverde-PE
Provas:

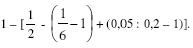
Assinale a alternativa que apresenta o valor da seguinte expressão: enunciado 1477187-1

 

Provas

Questão presente nas seguintes provas

Motorista

40 Questões