A figura apresenta os cinco primeiros elementos de uma sequência de números chamados números triangulares.

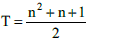
A fórmula que representa a quantidade total de bolinhas (T) necessárias para construir todas as figuras até a na figura é:
A figura apresenta os cinco primeiros elementos de uma sequência de números chamados números triangulares.

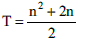
A fórmula que representa a quantidade total de bolinhas (T) necessárias para construir todas as figuras até a na figura é: