Magna Concursos
3853098 Ano: 2025
Disciplina: Matemática
Banca: EDUCA
Orgão: Pref. Santa Cecília-PB
Provas:

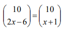
O conjunto solução S da equação binomial abaixo é:

Enunciado 3853098-1

 

Provas

Questão presente nas seguintes provas

Professor B - Matemática

50 Questões