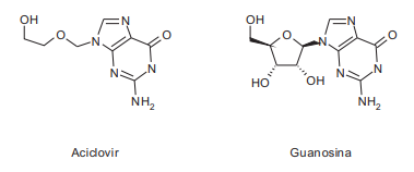
Os vírus utilizam os sistemas de expressão e transmissão gênicas dos seus hospedeiros para se propagarem. O vírus da herpes (HSV), por exemplo, possui DNA (ácido desoxirribonucleico) como material genético que, após ser introduzido na célula hospedeira, se funde ao DNA celular, sendo então expresso através do maquinário bioquímico desta célula. Um dos fármacos mais eficazes para o tratamento da infecção por HSV é o aciclovir, um composto análogo ao nucleosídeo guanosina, conforme o esquema abaixo.

Com base nos mecanismos celulares de expressão e transmissão gênicas, analise as afirmações que se seguem.
O aciclovir, por ser um análogo da guanosina, poderá ser incorporado a uma nova fita de DNA viral durante a sua síntese pela DNA polimerase, interrompendo o crescimento desta nova fita.
PORQUE
a ausência de uma hidroxila que mimetize a hidroxila 3’ da guanosina impede a ligação do nucleotídeo seguinte, evitando, assim, a continuação da síntese da fita de DNA.
A partir da análise, conclui-se que