Magna Concursos
1487346 Ano: 2002
Disciplina: Matemática
Banca: UFPB
Orgão: Pref. Campina Grande-PB
Provas:

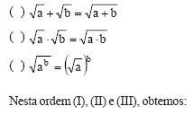
Nas sentenças abaixo, marque com F as sentenças falsas e com V as sentenças verdadeiras. Considere a e b números positivos.

enunciado 1487346-1

 

Provas

Questão presente nas seguintes provas

Professor - Matemática

60 Questões