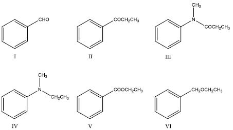
O controle dos produtos químicos nos estoques deve ser rigoroso, de modo a dificultar a ocorrência de acidentes oriundos da interação entre compostos incompatíveis. No caso de compostos orgânicos, a correta classificação, além de dificultar o armazenamento errôneo de compostos incompatíveis no mesmo local, permite que se encontrem facilmente compostos similares. Costumeiramente, a classificação e a organização de compostos orgânicos são realizadas de acordo com as funções orgânicas às quais pertencem. Nesse sentido, assinale a alternativa que indica, CORRETA e RESPECTIVAMENTE, as funções a que pertencem os compostos representados abaixo.
