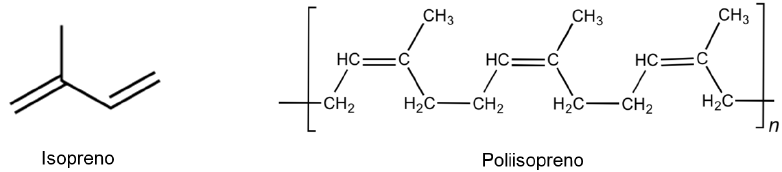
O isopreno é um monômero que constitui o polímero da borracha natural, poliisopreno. A borracha natural é obtida por coagulação do látex principalmente de árvores do gênero Hevea brasiliensis (seringueira). De acordo com as estruturas do isopreno e do poliisopreno, que estão representadas a seguir, assinale a alternativa correta.

Provas
Questão presente nas seguintes provas