Magna Concursos
3556884 Ano: 2024
Disciplina: Matemática
Banca: Consulplan
Orgão: SEED-PR
Provas:
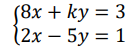
O estudo de sistemas lineares é uma parte fundamental da álgebra linear, pois permite analisar a solução de equações que representam situações com múltiplas variáveis. Considere o seguinte sistema linear de incógnitas x e y:
Enunciado 4198997-1
O sistema é:
 

Provas

Questão presente nas seguintes provas

Professor - Matemática

40 Questões