Magna Concursos
3120949 Ano: 2024
Disciplina: Matemática
Banca: FUNDATEC
Orgão: Pref. Santo Augusto-RS
Provas:

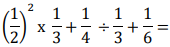
O resultado da expressão numérica abaixo é:

Enunciado 3464829-1

 

Provas

Questão presente nas seguintes provas

Orientador Social

40 Questões