Magna Concursos
1863991 Ano: 2008
Disciplina: Matemática Financeira
Banca: CESGRANRIO
Orgão: ANP

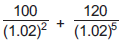
Se a taxa de juros compostos for de 2% a.m., o valor presente líquido de dois pagamentos futuros, em 2 meses e em 5 meses, com os valores respectivos de R$ 100,00 e R$ 120,00, deve ser calculado pela seguinte fórmula:

 

Provas

Questão presente nas seguintes provas