Magna Concursos
1926299 Ano: 2019
Disciplina: Matemática
Banca: IF-SC
Orgão: IF-SC

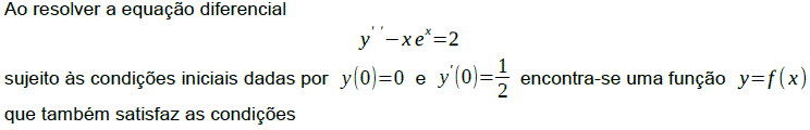
Enunciado 1926299-1

Questão Anulada

Provas

Questão presente nas seguintes provas

Professor PEBTT - Matemática

40 Questões